首页
学院概况
学院简介
组织机构
师资队伍
基本构成
学院师资
博士生导师
硕士生导师
学科建设
重点学科
科研实验室建设
博士后流动站
人才培养
本科教学评估
本科教育教学工作巡礼
专业设置
培养方案
精品课程
国家级实验教学示范中心
科学研究
学科方向
研究方向
科研成果
校企合作
仪器共享平台
党团工作
党建工作
团学工作
学生就业
安全管理
下载专区
学生资料
教师资料
物理学会
首页>
正文>
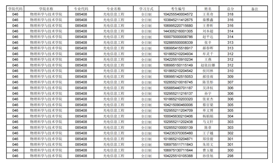
2025年综合赛事平台研究生招生调剂复试名单公示
2025-04-09 文字: 点击:[]
上一篇:
物理学院2025年博士“申请-考核”材料审核结果公示(第二批)
下一篇:
综合赛事平台2025年博士“申请-考核”材料审核结果公示
【
关闭
】
K体育·(sports)官方网站
|
乐竞在线注册-乐竞(中国)
|
龙8-long8(头号玩家)国际唯一官方网站
|
龙8-long8(头号玩家)国际唯一官方网站
|
乐竞在线注册-乐竞(中国)
|
八戒体育官网(中国)有限公司
|
八戒体育官网(中国)有限公司
|
乐竞体育(中国)官方网站-LEJING SPORTS
|